- 包装:Xstream MB
- 溶剂:二甲基甲酰胺(80%) + 1-乙基-3-甲基咪唑唑胺(20%)
- 流速:0.5 ml/min
- 专注:〜2.5 mg/ml
- 注射:100 µL
- 温度:50ºC
阅读并下载我们的分析化学应用程序注释。
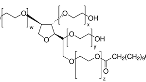
聚乙烯甘氨酸山梨糖酸酯单龙酸盐
- 包装:解析5µm
- 溶剂:四氢呋喃
- 流速:1.2毫升/分钟
- 专注:〜2.5 mg/ml
- 注射:100 µL
- 温度:45ºC
聚乙烯甘氨酸山梨糖糖元元中心
- 包装:解析5µm
- 溶剂:四氢呋喃
- 流速:1.2毫升/分钟
- 专注:〜2.5 mg/ml
- 注射:100 µL
- 温度:45ºC
聚乙二醇山梨糖素三元
- 包装:解析5µm
- 溶剂:四氢呋喃
- 流速:1.2毫升/分钟
- 专注:〜2.5 mg/ml
- 注射:100 µL
- 温度:45ºC
聚(乙烯基氯化乙烯乙烯乙烯酯-Co-乙烯基醇)
- 包装:解析5µm
- 溶剂:四氢呋喃
- 流速:1.2毫升/分钟
- 专注:〜2 mg/ml
- 注射:100 µL
- 温度:45ºC
聚(乙烯基氯化乙烯乙烯酯)
- 包装:解析5µm
- 溶剂:四氢呋喃
- 流速:1.2毫升/分钟
- 专注:〜2 mg/ml
- 注射:100 µL
- 温度:45ºC









