- 包装:解决5μm.
- 溶剂:n,n'-二甲基乙酰胺+ lib
- 流速:1.0毫升/分钟
- 专注:〜1 mg / ml
- 注射:100μl.
- 温度:60℃
......[阅读更多...]关于聚甲基丙烯酸甲酯
阅读并下载我们的分析化学应用笔记。
......[阅读更多...]关于聚甲基丙烯酸甲酯
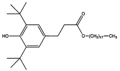
......[阅读更多...]关于Irganox 1076.
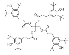
......[阅读更多...]关于Irganox 1010.
......[阅读更多...]关于囊冰UV-3346
