- 包装:解决5µm
- 溶剂:N, N二甲基甲酰胺+ LiBr
- 流量:1.0毫升/分钟
- 浓度:~ 1.8毫克/毫升
- 注:100µl
- 温度:50ºC
阅读并下载我们的分析化学应用笔记。
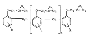
环氧酚醛树脂
- 包装:解决5µm
- 溶剂:N, N二甲基甲酰胺+ LiBr
- 流量:1.0毫升/分钟
- 浓度:~ 4.4毫克/毫升
- 注:100µl
- 温度:50ºC
783年Tinuvin FDL
- 包装:解决5µm
- 溶剂:N, N二甲基乙酰胺+ LiBr
- 流量:1.0毫升/分钟
- 浓度:~ 2.1毫克/毫升
- 注:100µl
- 温度:60°C
聚苯乙烯
- 包装:解决5µm
- 溶剂:N, N二甲基乙酰胺+ LiBr
- 流量:1.0毫升/分钟
- 浓度:~ 1毫克/毫升
- 注:100µl
- 温度:60°C
...(阅读更多…)对聚苯乙烯
保利(Vinylbenzyl)氯
- 包装:解决5µm
- 溶剂:N, N二甲基乙酰胺+ LiBr
- 流量:1.0毫升/分钟
- 浓度:~ 1.7毫克/毫升
- 注:100µl
- 温度:60°C
聚苯胺
- 包装:解决5µm
- 溶剂:N, N二甲基乙酰胺+ LiBr
- 流量:1.0毫升/分钟
- 浓度:~ 2.1毫克/毫升
- 注:100µl
- 温度:60°C
...(阅读更多…)对聚苯胺









