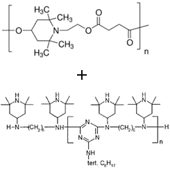
783年Tinuvin FDL

Baidu