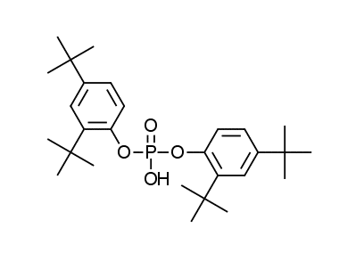
双(2,4-二叔丁基苯基) - 磷酸盐(BDTBPP)是在地区讨论的主题萃取物和浸出测试用于单使用生物过程系统。
已显示在低水平(PPM范围)下抑制细胞生长。发现当氧化IRGAFOS 168进行γ照射时,形成该化合物,其可以在生物过程系统中浸出和杀死细胞。Irgafos 168在聚烯烃中非常常见。有关更多信息,请参阅https://www.ncbi.nlm.nih.gov/pubmed/23569073。
乐动体育登录Jordi Labs帮助公司鉴定和定量双(2,4-二叔丁基苯基) - 磷酸盐和许多其他化合物,因为我们具有可提取的化合物的广泛专有数据库。
要了解Jordi Labs如何帮乐动体育登录助您,点击这里。
1.鉴定单使用生物过程容器中对细胞生长有害的可脱离化合物。(哈蒙德M,Nunn H,Rogers G,Lee H,Marghitoiu Al,Perez L,Nashed-Samuel Y,Anderson C,Vandiver M,Kline S.)




